A S T R O B I O G R A F I A S

Erwin Schrödinger
(12 de agosto de 1887, Erdberg, Viena – 04 de enero de 1961, Viena).
Premio Nobel en 1933 (junto con Paul Dirac) por el descubrimiento de una nueva forma productiva de la Teoría Atómica; de 1921 a 1927, profesor de Física Teórica en la Universidad de Zürich y las más prestigiosas universidades del mundo que requerían de su servicio: Erwin Schrödinger y sus teorías cambiaron nuestra visión del mundo.

Por: Bronny J.S. Ferrer.
Asociación Larense de Astronomía ALDA
Erwin Rudolf Josef Alexander Schrödinger, nació en Erdberg, una localidad cercana a Viena, Austria, en 1887. Era hijo de Rudolf Schrödinger y Georgine Emilia Brenda. En 1898 entró en el Akademisches Gymnasium, una de las instituciones de enseñanza media más prestigiosas del ámbito germánico.
Entre los años 1906 y 1910, Schrödinger estudió en Viena, recibiendo
clases de Franz Serafin Exner y de Friedrich Hasenöhrl. También realizó trabajos
experimentales en colaboración con Friedrich Kohlrausch. En 1911, Schrödinger se
convirtió en asistente de Exner.
La aportación más importante de Schrödinger a la física fue el
desarrollo de una rigurosa descripción matemática de las ondas estacionarias
discretas, que describen la distribución de los electrones dentro del átomo.
Schrödinger demostró que su teoría, publicada en 1926, era el equivalente en
matemáticas a las teorías de mecánica matricial que había formulado el año
anterior el físico alemán Werner Heisenberg.
Juntas, sus teorías constituyeron en buena medida la base de la mecánica
cuántica. Schrödinger compartió en 1933 el Premio Nobel de Física
con el británico, Paul A. M. Dirac, por su aportación al desarrollo de la
mecánica cuántica.
Su investigación incluía importantes estudios sobre los espectros
atómicos, la termodinámica estadística y la mecánica ondulatoria. Entre los
libros de Schrödinger se encuentran: Collected Papers on Ware Mechanics
(Recopilación de artículos sobre mecánica ondulatoria, 1928), Modern
Atomic Theory (Teoría atómica moderna, 1934), Statistical
Thermodynamics (Termodinámica estadística, 1945) y Expanding
Universes (Universos en expansión, 1956).
En 1914 logró la habilitación (venia legendi), que
es la máxima calificación académica que una persona puede alcanzar en ciertos
países de Europa y Asia. Entre aquel año y 1918 participó en la I Guerra Mundial
como parte del ejército austriaco, en Gorizia, Duino, Sistiana, Prosecco y
Viena. El 6 de abril de 1920, contrajo matrimonio con Annemarie Bertel. El mismo
año, Schrödinger se convirtió en ayudante de Max Wien en Jena, y el 20 de
septiembre, adquirió el cargo de profesor asociado en Stuttgart. En 1921 se
convirtió en profesor titular en Breslavia (hoy Wrocław, Polonia).
Schrödinger se trasladó a la Universidad de Zürich en 1921, donde
se desempeñó como Profesor de Física Teórica, hasta 1927. En enero de 1926
publicó en la revista Annalen der Physik un artículo científico titulado
"Quantisierung als Eigenwertproblem" (Cuantización como
problema de autovalores), en el que desarrolló la llamada Ecuación de
Schrödinger. Al año siguiente, sucedió a Max Planck en la Universidad de
Berlín. Sin embargo, abandonó Alemania en 1933, al estar en contra del
antisemitismo del Partido Nazi. Ese mismo año, se convirtió en fellow del
Magdalen College, en la Universidad de Oxford.

Su legado quedo reflejado en sus trabajos y teorías, los cuales no dejan lugar a dudas sobre su aporte. En 1999, la publicación Physics World, la cual, estudió a los 130 más renombrados científicos de la historia por sus trabajos, aportes y descubrimientos, hasta reducir dicha lista a sólo los 10 mejores científicos de todos los tiempos: Erwin Schrödinger, aparece en el puesto #9 de dicha lista, la cual incluye, por ejemplo, figuras de la talla de Albert Einstein (#1), Isaac Newton (#2), y Richard Feynman (#7).
En 1934, es nombrado Profesor Asociado, en la Universidad de Princeton, Estados Unidos, así como también, en 1936, en la Universidad de Graz, Austria. Durante 1938, después de la ocupación de Austria por Hitler, tuvo problemas por haber abandonado Alemania en 1933, y por sus preferencias políticas, por lo que se dedica a buscar becas e investigaciones a través de Italia y Suiza, hasta Oxford. En el Instituto de Estudios Avanzados, en Dublín, es Director de la Escuela de Física Teórica.
En 1944 publicó en inglés un pequeño volumen titulado ¿Qué es la vida? (What is life?), resultado de unas conferencias divulgativas. Esta obra menor ha tenido gran influencia sobre el desarrollo posterior de la biología. Sin embargo, esta aportó dos ideas fundamentales:
1) Que la vida no es ajena ni se opone a las leyes de la termodinámica,
sino que los sistemas biológicos conservan o amplían su complejidad exportando
la entropía que producen sus procesos.
2) Que la química de la herencia biológica, en un momento en que no
estaba clara su dependencia de ácidos nucleídos o proteínas, debe basarse en un
"cristal aperiódico", contrastando la periodicidad exigida a un cristal con la
necesidad de una secuencia capaz de codificar información necesariamente
irregular.
Según las memorias de James Watson, "DNA: The Secret of Life", el libro de Schrödinger de 1944, ¿What is Life? le inspiró para investigar los genes, lo que lo llevó al posterior descubrimiento de la estructura de doble hélice del ADN.
Los Maravillosos aires Alpinos y la Ecuación de Onda.
Cuando Schrödinger fue designado como director de Física Teórica en la
Universidad de Zürich, en el verano de 1921, una posición que había estado
vacante desde 1914, nadie imagino que seis años más tarde, dejaría la
Universidad y la ciudad aclamado como genio y comparado con luminarias de la
talla de Albert Einstein y Max Planck. Schrödinger llego a Zürich
a la edad de 34 años como un universitario muy versátil, pero que aun no había
producido algún trabajo de relevancia significativa, de lo que ya había y era
considerado un avance para la física.
Cuando Schrödinger se movió con su esposa, Annie, de Breslau a Zürich en
1921, un Premio Nobel era algo muy distante. Para su biógrafo, Walter J.
Moore, Schrödinger era "solo un niño brillante, ocasionalmente llevado
por su exuberancia intelectual", que sufría de una falta de éxitos y
reconocimientos. Y su posición como director en la Universidad de Zürich, lo
llevaron a confrontar un legado más pesado: seguir los pasos formidables de
figuras como Albert Einstein, Peter Debye y Max von Laue, todos ellos
subsecuentes laureados con el Nobel. Sea como sea, Schrödinger estaría seis años
en Zürich, un tiempo durante el cual revolucionaria la física.
Primero, sin embargo, debió recuperar su fuerza. Cuando llegó a Zürich,
estaba exhausto, tanto física como mentalmente. "Me encontraba tan cansado, que
era incapaz de pensar de forma inteligente", le escribiría más tarde a Wolfgang
Pauli. Con su desplazamiento a Zürich, Schrödinger dejo atrás a una Alemania
golpeada por la guerra y aún más, destrozada por el hambre y la miseria.
A diferencia de sus ilustres predecesores, fue premiado, no solo como
profesor asociado, sino también con todas las comodidades disponibles. Los
Schrödingers se acomodaron en un espacioso apartamento, apropiado para su
estatus, en Huttenstrasse 9, en Zürich-Oberstrass.
En adición a su agotamiento, Schrödinger también adquirió en Alemania
una peligrosa e insidiosa enfermedad. Difícilmente comenzaba una lectura, cuando
se veía forzado a tomar aliento debido a una severa bronquitis. Sus problemas
respiratorios duraron todo el invierno. Finalmente, una tuberculosis pulmonar
fue diagnosticada, por lo que recibió una prescripción para tomar reposo.
Por ello que, en 1922, Schrödinger tomaría destino de vacaciones a un
resort en Arosa, un lugar que era un destino escarpado. Se mantuvo allí por
nueve meses, bajo los cuidados de su devota esposa. La altitud de la zona fue
exitosa para su cura, los síntomas desaparecieron, y a comienzos de noviembre,
Schrödinger estaba de retorno a Zurich para enseñar otra vez. Comenzó a
trabajar, pero se agotaba rápidamente.
En Arosa, escribió dos artículos, uno de los cuales se titulaba
"“Über eine bemerkenswerte Eigenschaft der Quantenbahnen eines eizelnen
Elektrons" (Sobre las notables propiedades de las orbitas cuánticas de un
simple Electrón). En palabras de Walter J. Moore, puede ser descrito como
"un descubrimiento muy original en una nueva era".

Unas vacaciones señalaron el comienzo del annus mirabilis de Schrödinger, el año donde revolucionó la física. Cuando un colega le pregunto si había "disfrutado" sus vacaciones en Arosa, excelente sitio para esquiar, Schrödinger respondió: "estuve distraído por algunos cálculos"
Incluso, los aires alpinos de Arosa parecían inspirar a Schrödinger, ya que retornaba frecuentemente allí. Años más tarde, estuvo dedicado devotamente a los electrones y a la cuántica, y por ende, a las bases para sus descubrimientos en física cuántica.
Después de su convalecencia, Schrödinger disfruto de una buena vida en Zurich. El y su esposa eran parte de un cliché académico que se encontraba regularmente para compartir picnics y asistir al nuevo baño público en Mythenquai.

Erwin Schrödinger (al centro de la imagen, con anteojos, detrás de la dama con traje de baño negro) fue parte de un grupo académico que se encontraba regularmente en el área de baño público en Mythenquai, Zürich, el cual se abrió en 1923. Crédito: Ruth Braunizer/Austrian Central Library for Physics.
El matrimonio sufrió la ausencia de hijos. Schrödinger anhelaba un hijo;
de vez en cuando, la pareja considero el divorcio, pero a pesar de ello, se
mantuvieron juntos toda la vida. Cuando se apunto en 1927, como sucesor de Max
Planck en Berlín, sus estudiantes organizaron una procesión con antorchas a la
casa de Schrödinger para persuadirlo a quedarse. Schrödinger se sintió tocado,
pero aún mantenía dejar Alemania.
En el semestre de verano de 1925, Schrödinger leyó la tesis doctoral de
un joven francés, Louis de Broglie, quien proponía que la materia, como
los electrones, también poseía propiedades de onda. Esto contradecía la opinión
prevaleciente de los líderes de la física de aquel tiempo, que asumían que los
electrones eran partículas.
Albert Einstein se sintió fascinado inmediatamente por la teoría
de Broglie, mientras que otros investigadores, tales como Max Planck,
reaccionaron con una discrepancia inicial. De Broglie también le dio a
Schrödinger razones para pensar de una forma muy productiva. Schrödinger se
enfocó intensamente en la proposición de Broglie de que toda la materia tiene
propiedades de ondas. ¿Cuáles fueron las propiedades de dichas ondas de materia?
El intentó formular leyes y ecuaciones que pudieran definirlas. Su idea
llegó extraordinariamente rápido, bajo circunstancias inesperadas. Schrödinger
estuvo en navidad y el nuevo año (1925/1926) de vacaciones en Arosa. Estas
vacaciones fueron el comienzo de su annus mirabilis, una etapa que duró
doce meses de trabajo concentrado y creativo que revolucionó la física.
Schrödinger sintió que se encontraba en camino de algo grande. El 27 de
diciembre, escribió a su físico colega, Wilhelm Wien:
"Al momento, estuve fastidiado por una nueva teoría atómica. Si solo fuese
mejor en matemática! Estoy muy optimista sobre esto, y espero que será algo
hermoso a medida que pueda manejar los cálculos".
Luego de su regreso de Arosa, un colega le pregunto a Schrödinger si
había disfrutado el esquiar. El respondió que estuvo distraído por "algunos
cálculos". Estos cálculos resultaron en la aparición de su primer artículo:
“Quantisierung als Eigenwertproblem, Erste Mitteilung” (Cuantización como un
problema de valores propios, parte uno), el cual envió a Annalen der
Physik, el 26 de enero de 1926.
En este trabajo, Schrödinger formuló su famosa ecuación de onda,
el cual pasaría a la historia de la física como la "Ecuación de Schrödinger". La
ecuación de onda hace posible calcular los niveles de energía de los electrones
en un átomo, por lo que solventaba uno de los más grandes problemas en física
cuántica. Este primer trabajo, fue seguido por tres más, durante los siguientes
seis meses. Los revolucionarios cálculos de Schrödinger probaron la naturaleza
ondulatoria de la materia, propuesta por de Broglie.
Después de la ecuación de onda de Schrödinger, nada en el mundo de la
física fue lo mismo otra vez. La disputa de si los objetos cuánticos, tales como
electrones, átomos o moléculas eran partículas u ondas fue resuelto, pero de una
forma sorprendentemente elegante: Schrödinger demostró que los electrones podían
tener propiedades, sean de ondas o partículas, pero no una u otra; su estado
puede ser calculado solo con un grado de probabilidad.

Fue gracias, en parte, al trabajo de la tesis doctoral de Louis de Broglie, que Schrödinger se enfocó completamente en sus ideas para desarrollar sus teorías. De Broglie proponía que la materia, igual que los electrones, también poseía propiedades de onda, aunque ello contradecía la corriente prevaleciente de los líderes de la física de la época, que asumían que los electrones eran partículas. Tanto así, que el propio Einstein se sintió fascinado por la propuesta de Broglie. De familia aristocrática, de Broglie heredó los títulos nobiliarios de su padre; de ahí que se le conozca internacionalmente como Principe de Broglie.
En una explosión de creatividad, Erwin Schrödinger cambió las bases de
su trabajo. Lo que siguió, fue fama y honor. Mientras aún estaba empleado en
Zurich, Schrödinger fue invitado a los Estados Unidos, donde daría 50 lecturas
en solo tres meses, y las más prestigiosas universidades le ofrecieron puestos
de profesor.
Schrödinger declinó a todas estas ofertas, ya que tenía algo mejor en la
lupa: la sucesión de Max Planck en Berlín. Los años de Schrödinger llegaron a su
fin con su más productivo pase como especialista, uno que lo pondría entre los
más grandes de su clase...
La Ecuación de Onda.
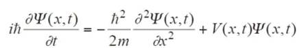
Con el avenimiento de la mecánica cuántica en 1927, se articularon la hipótesis de Louis de Broglie y el Principio de Incertidumbre de Heisenberg. Ahora, para aplicar el carácter ondulatorio del electrón, se define una función de ondas y, utilizando la ecuación de ondas de Schrödinger, que matemáticamente es una ecuación diferencial de segundo grado, es decir, una ecuación en la cual intervienen derivadas segundas de la función Y:
Al resolver la ecuación diferencial, se obtiene que la función y depende
de una serie de parámetros, que se corresponden con los números cuánticos, tal y
como se define en el modelo atómico de Böhr. La ecuación sólo se plasmará cuando
esos parámetros tomen determinados valores permitidos (los mismos valores que se
indicaron para el modelo de Böhr).
Por otro lado, el cuadrado de la función de ondas Y2, corresponde
a la probabilidad de encontrar al electrón en una región determinada, con lo
cual se está introduciendo en el modelo el principio de incertidumbre de
Heisenberg. Por ello, en este modelo aparece el concepto de "orbital": región
del espacio en la que hay una máxima probabilidad de encontrar al electrón.
En efecto, en la mecánica cuántica, toda la información acerca de una
partícula está incluida en su función de onda Y, bien en el espacio de
coordenadas, bien en el espacio de momentos. Pero ¿qué pasa con su evolución en
el tiempo? Como en la física clásica, se supone que si se conoce toda la
información necesaria sobre la partícula en un instante inicial, se puede
determinar su comportamiento en el futuro: el principio de determinación.

La Ecuación de Schrödinger.
Esto significa en mecánica cuántica que, al dar la función de onda en el
instante inicial, podemos calcularla en cualquier otro instante. Se trata de un
proceso que se realiza a través de la ecuación de Schrödinger de onda para
Y(t), análoga a las ecuaciones de onda clásicas. Esta ecuación sustituye a
la Ley de Newton para la partícula cuántica.
Ahora bien, las diferencias esenciales que se dan entre la ecuación para
Y(t)) y las ecuaciones de onda clásica son manifiestas: la ecuación para
Y debe contener sólo el primer orden en la derivada temporal para que al
dar sólo Y(t = t0) se pueda determinar su comportamiento en el futuro. En
cambio las ecuaciones clásicas, contienen derivadas segundas y por lo tanto
requieren dar no sólo la función en el instante inicial sino también su primera
derivada temporal.
La ecuación de Schrödinger no se deduce en la mecánica cuántica, sino
que representa un resultado derivado de observaciones empíricas. Sin embargo, se
puede justificar a posteriori considerando sus consecuencias y comparándolas con
lo que en realidad ocurre en la naturaleza.
Con su aplicación, se demuestra a las ondas como una de las características de la materia y es considerada como uno de los grandes logros obtenidos en el siglo XX. Se trata de una herramienta matemática de gran alcance, que se utiliza en la física y en una parte importante de los estudios que se efectúan en química que se ocupan de los problemas de la estructura atómica de la materia.
Una nueva Teoría Atómica creada en Zúrich.
Desde que comencé mi andar por el mundo de la cosmología y la mecánica
cuántica (a excepción de la Teoría de la Relatividad) el trabajo de Schrödinger
capto mi atención de forma inmediata; su propuesta fue un gran terremoto para la
física y el mundo científico. Sus implicaciones marcaron un antes y un después,
que le dio bifurcación a que camino deberíamos seguir. "La Ecuación de
Schrödinger" es uno de los más grandes logros en la historia de la física.
Lo extraño de la mecánica cuántica es que, de hecho, no debería funcionar, pero
lo cierto es que si funciona!
Erwin Schrödinger trabajó en ella en los pocos meses al final de 1925 y
comienzos de 1926, para, posteriormente, publicar sus descubrimientos y cálculos
en Annalen der Physik, entre enero y junio de 1926. Para la fecha, los
mejores físicos del mundo, que incluían a Albert Einstein, Niels Bohr, Max
Planck y Werner Heisenberg, luchaban para entender el átomo.
Entre los problemas sin resolver era el comportamiento de los electrones
en un átomo. No estaba claro si lo electrones eran partículas u ondas; los
aspectos revolucionarios de Schrödinger era que este se basaba en la presunción
de que, los electrones eran ondas que llenaban el espacio.
Las ecuaciones le dieron a Schrödinger un significado elegante para
calcular los niveles de energía de los electrones en el átomo de hidrogeno.
Interesantemente, el físico alemán, Werner Heisenberg, había llegado a la misma
conclusión al mismo tiempo, aunque con otro método de cálculos que estaba basado
en el concepto de los electrones como partículas.
Esta mostraba que los electrones podrían tener propiedades, tanto de
partículas como de ondas; un descubrimiento con profundas implicaciones y de
grandes consecuencias para la física cuántica: esto significaba que la
naturaleza de las partículas en y en sí mismo, no puede ser determinado ya que
el acto de observación influye al fenómeno observado.
El trabajo de Broglie llamó la atención de Einstein, quien lo consideró muy importante y lo difundió entre los físicos. Inspirado en las ideas allí expuestas, Erwin Schrödinger desarrolló entre 1925 y 1926 su teoría de la mecánica ondulatoria, que es una de las maneras en que se presenta la Mecánica Cuántica. Corresponde mencionar que casi simultáneamente, Werner Heisenberg desarrolló un enfoque alternativo: la mecánica matricial.
En la teoría de Heisenberg no se consideran ondas piloto; en su lugar se manejan las variables dinámicas como x, px, etc., que se representan mediante matrices. Los aspectos cuánticos se introducen en dicha teoría por medio del principio de incerteza, que se expresa por medio de las propiedades de conmutación de las matrices. El principio de incerteza es en realidad equivalente al postulado de Broglie, y las teorías de Heisenberg y de Schrödinger son idénticas en contenido aunque de forma aparentemente muy distinta.
Pero esto no fue comprendido enseguida, y en un primer momento hubo ácidas polémicas entre los sostenedores de una y otra, hasta que Schrödinger en 1928 demostró la equivalencia de ambas. Debido a que la teoría de Schrödinger se presta mejor para un tratamiento introductorio no entraremos en los detalles de la teoría de Heisenberg.
El Gato de Schrödinger.
Schrödinger explicó esta paradoja en 1935, con un experimento que ha
pasado a los anales de la historia de la física como "El Gato de
Schrödinger". El experimento mental consiste en imaginar a un gato metido
dentro de una caja por una hora, que contiene un curioso y peligroso
dispositivo.
Este dispositivo está formado por una botella de vidrio que contiene un
veneno muy volátil y por un martillo sujeto sobre la ampolla, de forma que si
cae sobre ella la rompe, y se escapa el veneno, con lo que el gato moriría. El
martillo está conectado a un mecanismo detector de partículas alfa (contador
Geiger); si llega una partícula alfa, el martillo cae rompiendo la ampolla, con
lo que el gato muere, por el contrario, si no llega, no ocurre nada y el gato
continúa vivo.
Cuando todo el dispositivo está preparado, se realiza el experimento. Al
lado del detector se sitúa un átomo radiactivo con unas determinadas
características: tiene un 50% de probabilidades de emitir una partícula
alfa en una hora. Evidentemente, al cabo de una hora, habrá ocurrido uno de los
dos sucesos posibles: el átomo ha emitido una partícula alfa o no la ha emitido
(la probabilidad de que ocurra una cosa o la otra es la misma, pero no tenemos
conocimiento cuando). Como resultado de la interacción en el interior de la
caja, el gato está vivo o está muerto. Pero no podemos saberlo si no la abrimos
para comprobarlo.
Si lo que ocurre en el interior de la caja lo intentamos describir aplicando las leyes de la mecánica cuántica, llegamos a una conclusión muy extraña: El gato vendrá descrito por una función de onda extremadamente compleja, resultado de la superposición de dos estados combinados al cincuenta (50%) por ciento: "gato vivo" y "gato muerto". Es decir, aplicando el formalismo cuántico, el gato estaría vivo y muerto a la vez; se trataría de dos estados indistinguibles.

Un gato dentro de una caja sellada, contentivo de una botella con veneno, un
martillo, y un dispositivo con una partícula radiactiva. Si el dispositivo
detecta la radiación que emite una partícula alfa, el martillo conectado a un
mecanismo, cae y rompe el frasco, liberando el veneno que mata al gato. Según la
interpretación de Copenhague, después de un tiempo el gato está vivo y
muerto al mismo tiempo.
La única forma de averiguar qué ha ocurrido con el gato es realizar una medida: abrir la caja y mirar dentro. En unos casos nos encontraremos al gato vivo y en otro muerto. Pero, ¿qué ha ocurrido? Al realizar la medida, el observador interactúa con el sistema y lo altera, rompe la superposición de estados y el sistema se decanta por uno de sus dos estados posibles.
El sentido común nos indica que el gato no puede estar vivo y muerto a
la vez. Pero la mecánica cuántica dice que mientras nadie mire en el interior de
la caja, el gato se encuentra en una superposición de los dos estados: vivo y
muerto.
Esta superposición de estados es una consecuencia de la naturaleza
ondulatoria de la materia y su aplicación a la descripción mecanocuántica de los
sistemas físicos, lo que permite explicar el comportamiento de las partículas
elementales y de los átomos. La aplicación a sistemas macroscópicos como el gato
o, incluso, si así se prefiere, cualquier profesor de física, nos llevaría a la
paradoja que nos propone Schrödinger.
Lo mismo sucede con las partículas en física cuántica, como con el gato: Su condición puede ser definitivamente determinado solo cuando estos son medidos. Hasta entonces, es solo posible discutir el estado de las partículas en términos de probabilidades.
Esta incertidumbre irritó a los contemporáneos de Schrödinger, quienes
se negaban a creer que la física está gobernada por la casualidad. Albert
Einstein reaccionó de inmediato, remarcando la frase: "Dios no juega a los
dados". Las consecuencias físicas y filosóficas de este hecho es la pregunta
si nada es real, el gato no está ni vivo ni muerto; o todo es real, el gato esta
simultáneamente vivo y muerto.
Tomando en cuenta todo lo anterior, existe una propiedad que poseen los
electrones, de poder estar en dos lugares distintos al mismo tiempo, pudiendo
ser detectados por los dos receptores y dándonos a sospechar que el gato está
vivo y muerto a la vez, lo que se llama superposición. Pero, cuando
abramos la caja, y queramos comprobar si el gato sigue vivo o no, perturbaremos
este estado y veremos si el gato está vivo o muerto.

Schrödinger y su gato nos ha dejado un legado de incertidumbre sana, que, probablemente, no tenga una solución viable para su explicación. Solo nos queda interpretar e indagar. Mientras tanto... no abramos la caja...
Ahí radica la incertidumbre de la paradoja: Mientras que en la
descripción clásica del sistema, el gato estará vivo o muerto, antes de que
abramos la caja y comprobemos su estado, en la mecánica cuántica el sistema se
encuentra en una superposición de los estados posibles, hasta que
interviene el observador, lo que no puede ser posible, por el simple uso de
la lógica.
El paso de una superposición de estados a un estado definido, se produce
como consecuencia del proceso de medida, y no puede predecirse el estado final
del sistema: solo la probabilidad de obtener cada resultado. La
naturaleza del proceso sigue siendo una incógnita (y posiblemente siga siendo
así por siempre) que ha dado lugar a distintas interpretaciones, pero de
carácter especulativo.
¿Cómo interpretamos algo que posiblemente no tenga solución?
- La Interpretación Relacional rechaza la interpretación objetiva del
sistema, y propone en cambio que los estados del sistema son estados de relación
entre el observador y el sistema. Distintos observadores, por tanto, describirán
el mismo sistema mediante distintas funciones de onda. Antes de abrir la caja,
el gato tiene información sobre el estado del dispositivo, pero el
experimentador no tiene esa información sobre lo que ha ocurrido en la caja.
Así, para el gato, la función de onda del aparato ya ha colapsado, mientras que
para el experimentador el contenido de la caja está aún en un estado de
superposición. Solamente cuando la caja se abre, y ambos observadores tienen la
misma información sobre lo que ha pasado, las dos descripciones del sistema
colapsan en el mismo resultado.
- La Interpretación Asambleística o Estadística interpreta la
función de onda como una combinación estadística de múltiples sistemas
idénticos. La superposición es una abstracción matemática que describe este
conjunto de sistemas idénticos; pero cuando observamos un sistema individual, el
resultado es uno de los estados posibles. Sin embargo, esta interpretación es
incapaz de explicar fenómenos experimentales asociados a partículas
individuales.
- En la Interpretación de los "many-worlds" (Muchos Mundos), formulada
por Hugh Everett en 1957, el proceso de medida supone una ramificación en
la evolución temporal de la función de onda. El gato está vivo y muerto a la
vez, pero en ramas diferentes del Universo: ambas son reales, pero incapaces de
interactuar entre sí, debido a la decoherencia cuántica.

Ta, raaaaaa...! El gato de Schrödinger está muerto... no, está vivo!. no, para nada... posee ambos estados! El paso de una superposición de estados a un estado definido, se produce como consecuencia del proceso de medida, y no puede predecirse el estado final del sistema: solo la probabilidad de obtener cada resultado. La naturaleza del proceso sigue siendo una incógnita (y posiblemente siga siendo así por siempre).
- De acuerdo con la Interpretación de Copenhague, en el momento en que
abramos la caja, la sola acción de observar, modifica el estado del
sistema tal, que ahora observamos un gato vivo o un gato muerto.
Este colapso de la función de onda es irreversible e inevitable en un proceso de
medida, y depende de la propiedad observada. Es una aproximación pragmática al
problema que considera el colapso como una realidad física, sin justificarlo
completamente. El Postulado IV de la mecánica cuántica expresa
matemáticamente cómo evoluciona el estado cuántico, tras un proceso irreversible
de medida.
- Y en la Interpretación del Colapso Objetivo, la superposición de
estados se destruye, aunque no se produzca observación, difiriendo las teorías
en qué magnitud física es la que provoca la destrucción (tiempo, gravitación,
temperatura, términos no lineales en el observable correspondiente). Esa
destrucción es lo que evita las ramas que aparecen en la teoría de los "muchos
mundos". La palabra "objetivo" procede que en esta interpretación, tanto la
función de onda como el colapso de la misma son "reales", en el sentido
ontológico. En la interpretación de los "muchos mundos", el colapso no es
objetivo, y en la de Copenhague es una hipótesis ad hoc.
Es una cuestión fundamental que permanece sin respuesta hasta el día de
hoy; el Gato de Schrödinger un hecho que, incluso, puede que no tenga una
respuesta o solución.
Erwin Schrödinger, aquel sereno y a la vez, audaz austriaco que revolucionó las bases de la física, falleció en Viena en 1961, a los 73 años de edad, por tuberculosis. Fue enterrado en Alpbach (Austria). En su memoria, el cráter lunar Schrödinger lleva su nombre; además del asteroide 13092 Schrödinger también conmemora su nombre y el legado de este insigne físico.
Sus pensamientos son palpables en su frase, que demuestra el juego de palabras, así como la incertidumbre de sus teorías:
"La tarea no es tanto ver lo que nadie ha visto todavía; es pensar lo que nadie ha pensado aún, aunque todos lo vean"
Recursos y Referencias:
Alexey A. Kryukov "The classical
and the quantum", Department of Mathematics & Natural Sciences,
University of Wisconsin-Milwaukee, USA, arXiv:
1912.05914v1
Rashid Ahmad, Sumaira Nawaz,
"QUANTUM MONA LISA CAT", Department of Physics, Kohat University of
Science and Technology, Kohat 26000, Khyber-Pakhtunkhwa, Pakistan,
arXiv 2001.10184v2
Arash Tirandaz 1, Hamid Reza Naeij 2, † and Afshin Shafiee 2,
"Bringing Schrödinger’s Cat to Life with Non-Equilibrium
Respiration", 1 School of Biological Sciences, Institute for
Research in Fundamental Sciences (IPM), P.O. Box 19395-5531, Tehran, Iran, 2
Research Group on Foundations of Quantum Theory and Information, Department of
Chemistry, Sharif University of Technology.P.O.Box 11365-9516, Tehran, Iran,
arXiv 1908.0250v
Universidad de Zurich:
file:///D:/Erwin%20Schrodinger/schroedinger_en.pdf
Tony Leggett. “New life for Schrödinger's
cat”. Physics World, 13(8): 23{24, August 2000. CODEN PHWOEW. ISSN
0953-8585 (print), 2058-7058 (electronic). URL
http://physicsworldarchive.iop.org/full/pwa-pdf/13/8/phwv13i8a25.pdf.
Karl Lark-Horovitz.
Book review: “Science and Humanism: Physics in Our
Time. Erwin Schrödinger”. New York: Cambridge Univ. Press, 1952. 68 pp.
$1.75. Science, 118(3054):59{60, July 10, 1953. CODEN SCIEAS. ISSN 0036-8075 (print),
1095-9203. URL:http://www.sciencemag.org/content/118/3054/59.full.pdf.
J. G. Loeser. “Three perspectives on
Schrödinger's cat”. American Journal of Physics, 52(12):1089{1093,
December 1984. CODEN AJPIAS. ISSN 0002-9505 (print), 1943-2909 (electronic.)
URL http://scitation.aip.org/content/aapt/journal/ajp/ 52/12/10.1119/1.13765.
Miguel Ferrero Melgar. “The philosophy of Erwin Schrödinger: A diachronic view of Schr¨odinger's thoughts”. Foundations of Physics, 18(3):357{371, March 1988. CODEN FNDPA4. ISSN 0015-9018 (print), 1572-9516 (electronic). URL http://link.springer. com/article/10.1007/BF01891496.
Zeeya Merali. “Reincarnation can save Schrödinger´s cat”. Nature, 454(??):8{9, July 2, 2008. CODEN NATUAS. ISSN 0028-0836 (print), 1476-4687 (electronic). URL http://www.nature.com/ news/2008/080702/full/454008a.html.
Walter John Moore. “Schrödinger: life and thought”. Cambridge University Press, Cambridge, UK, 1989. ISBN 0-521-35434-X. xi + 513 pp. LCCN QC16.S265 M66 1989.
URL:http://www.loc.gov/catdir/description/cam023/88025807.html;http:// www.loc.gov/catdir/toc/cam021/88025807.html.
Walter John Moore. “Erwin Schrödinger: una vida”. (Spanish) [Erwin Schrödinger: a Life]. Cambridge University Press, Cambridge, UK, 1996. ISBN 0-521-55593-0 (paperback). ix + 444 pp. LCCN QC16.S265 M6518 1996.
http://www.loc.gov/catdir/description/cam027/95051783.html;http://www. loc.gov/catdir/toc/cam023/95051783.html. Spanish translation of [Moo94].